Magnetic Energy
- All
- News
-
Watch: Astronaut Shares Breathtaking Video Of Rare Red Aurora Above Earth As Seen From Space
- Tuesday September 2, 2025
- Science | Edited by Srishti Singh Sisodia
Aurora can display a range of colours depending on the energy of the particles and atmospheric conditions.
-
www.ndtv.com
-
Metamaterial Breaks Thermal Symmetry, Enables One-Way Heat Emission
- Saturday July 5, 2025
- Written by Gadgets 360 Staff
Scientists have created a groundbreaking metamaterial that breaks Kirchhoff’s law by emitting 43% more mid-infrared radiation in one direction than it absorbs. Built from layered InGaAs and tested at 512°F with a 5T magnetic field, the structure exhibits record thermal nonreciprocity. This breakthrough enables controlled one-way heat flow, a ste...
-
www.gadgets360.com
-
Watch: Japan's Drone Technology Turns Lightning Into A Controlled Force
- Saturday May 3, 2025
- Science | Edited by Nikhil Pandey
Nippon Telegraph and Telephone Corporation (NTT) has developed a drone technology that claims to trigger and draw lightning.
-
www.ndtv.com
-
NASA's MMS Mission Marks 10 Years of Magnetic Reconnection Discoveries
- Monday March 17, 2025
- Written by Gadgets 360 Staff
NASA's Magnetospheric Multiscale (MMS) mission has completed a decade of discoveries, advancing the study of magnetic reconnection—a crucial process in space physics. The four-satellite fleet has enabled over 1,500 research papers, refining theories and revealing unexpected reconnection locations. The mission has also set records for GPS tracking...
-
www.gadgets360.com
-
Simple OneS Electric Scooter With 181 KM IDC Range Launched in India: Price, Specifications
- Thursday March 13, 2025
- Written by Shaurya Tomer, Edited by Siddharth Suvarna
Bengaluru-based startup Simple Energy launched its latest electric scooter, dubbed Simple OneS in India on Wednesday. It joins existing options in the company’s EV lineup which include the Simple One and the One Gen 1.5. The new electric scooter is powered by a permanent magnet synchronous motor (PMSM) with a 8.5 kW peak power output, propelling ...
-
www.gadgets360.com
-
Physicists Achieve Record-Breaking Electron Beam Power and Current at SLAC
- Wednesday March 5, 2025
- Written by Gadgets 360 Staff
Researchers at SLAC National Accelerator Laboratory have set a new record by generating the highest-current, highest-peak-power electron beam ever recorded. The beam reached 100 kiloamps in just one quadrillionth of a second, achieved through advanced compression techniques and magnetic field manipulation. This breakthrough could have major implica...
-
www.gadgets360.com
-
AMS Data Reveals Charged Particle Variations in Heliosphere Over Solar Cycle
- Monday February 10, 2025
- Written by Gadgets 360 Staff
Researchers analysing AMS data aboard the ISS have identified variations in charged particles within the heliosphere over an 11-year solar cycle. Shifts in the heliospheric magnetic field impact antiproton behaviour and cosmic nuclei fluxes, revealing correlations between solar modulation and cosmic ray movement. AMS measurements provide insights i...
-
www.gadgets360.com
-
Study Explores Sun’s Magnetic Field Changes and Solar Wind Acceleration
- Friday December 20, 2024
- Written by Gadgets 360 Staff
A study published in The Astrophysical Journal has shed light on how the Sun’s magnetic field influences solar wind acceleration. Using data from the Parker Solar Probe and Solar Orbiter, researchers observed that sharp magnetic switchbacks smooth out into gentler waves as they travel further from the Sun. This relaxation process transfers magnet...
-
www.gadgets360.com
-
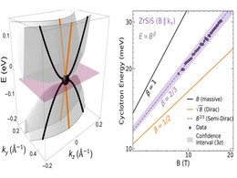
Semi-Dirac Fermions Found in ZrSiS: Quasiparticles with Directional Mass Behavior
- Thursday December 12, 2024
- Written by Gadgets 360 Staff
Researchers at Penn State and Columbia University identified semi-Dirac fermions, quasiparticles theorized 16 years ago, in ZrSiS crystals. These particles are massless in one direction but have mass in another. The findings, published in Physical Review X, were made using magneto-optical spectroscopy at the National High Magnetic Field Laboratory....
-
www.gadgets360.com
-
NASA's Parker Solar Probe Unveils New Insights into Solar Heating Mystery
- Friday August 16, 2024
- NDTV
NASA's Parker Solar Probe has delivered groundbreaking insights into one of the sun's most perplexing mysteries: why its outer atmosphere, or corona, is significantly hotter than its surface. This phenomenon, known as the "coronal heating mystery," has puzzled scientists for decades. The Parker Solar Probe, which is the fastest human-made object, h...
-
www.gadgets360.com
-
Solar Flares Seen During Total Solar Eclipse. Here's What It Means
- Tuesday April 9, 2024
- World News | Edited by Anoushka Sharma
A solar flare is a massive explosion that occurs on the Sun when energy that has been trapped in "twisted" magnetic fields, which are often found above sunspots, is abruptly released.
-
www.ndtv.com
-
China's Insight-HXMT Records Strongest Magnetic Field in Universe, Measuring Over 1.6 Billion Tesla
- Wednesday July 13, 2022
- Edited by Gadgets 360 Newsdesk
The Insight-HXTM team has spotted a cyclotron absorption line in the neutron star X-ray binary Swift J0243.6+6124 having the energy of 146 keV. This was corresponding to a surface magnetic field with a magnitude of more than 1.6 billion Tesla.
-
www.gadgets360.com
-
Watch: Amateur Photographer Records "Unusual" Solar Storm On Surface of Sun
- Wednesday June 8, 2022
- Offbeat | Edited by Bhavya Sukheja
A solar storm that reaches as far out from the Sun as four entire Earths was discovered by telescope by an amateur photographer.
-
www.ndtv.com
-
NASA Shares Stunning Image of Solar Flares Recently Ejected by Sun
- Friday January 21, 2022
- Edited by Gadgets 360 Newsdesk
The Sun's surface is marked by electrically charged gases that keep generating powerful magnetic forces. Their area of influence is called magnetic fields. As these gases are dynamic, they continuously stretch and twist the magnetic fields. Sometimes, this tangling of magnetic fields causes a sudden explosion of energy called solar flares.
-
www.gadgets360.com
-
Watch: Astronaut Shares Breathtaking Video Of Rare Red Aurora Above Earth As Seen From Space
- Tuesday September 2, 2025
- Science | Edited by Srishti Singh Sisodia
Aurora can display a range of colours depending on the energy of the particles and atmospheric conditions.
-
www.ndtv.com
-
Metamaterial Breaks Thermal Symmetry, Enables One-Way Heat Emission
- Saturday July 5, 2025
- Written by Gadgets 360 Staff
Scientists have created a groundbreaking metamaterial that breaks Kirchhoff’s law by emitting 43% more mid-infrared radiation in one direction than it absorbs. Built from layered InGaAs and tested at 512°F with a 5T magnetic field, the structure exhibits record thermal nonreciprocity. This breakthrough enables controlled one-way heat flow, a ste...
-
www.gadgets360.com
-
Watch: Japan's Drone Technology Turns Lightning Into A Controlled Force
- Saturday May 3, 2025
- Science | Edited by Nikhil Pandey
Nippon Telegraph and Telephone Corporation (NTT) has developed a drone technology that claims to trigger and draw lightning.
-
www.ndtv.com
-
NASA's MMS Mission Marks 10 Years of Magnetic Reconnection Discoveries
- Monday March 17, 2025
- Written by Gadgets 360 Staff
NASA's Magnetospheric Multiscale (MMS) mission has completed a decade of discoveries, advancing the study of magnetic reconnection—a crucial process in space physics. The four-satellite fleet has enabled over 1,500 research papers, refining theories and revealing unexpected reconnection locations. The mission has also set records for GPS tracking...
-
www.gadgets360.com
-
Simple OneS Electric Scooter With 181 KM IDC Range Launched in India: Price, Specifications
- Thursday March 13, 2025
- Written by Shaurya Tomer, Edited by Siddharth Suvarna
Bengaluru-based startup Simple Energy launched its latest electric scooter, dubbed Simple OneS in India on Wednesday. It joins existing options in the company’s EV lineup which include the Simple One and the One Gen 1.5. The new electric scooter is powered by a permanent magnet synchronous motor (PMSM) with a 8.5 kW peak power output, propelling ...
-
www.gadgets360.com
-
Physicists Achieve Record-Breaking Electron Beam Power and Current at SLAC
- Wednesday March 5, 2025
- Written by Gadgets 360 Staff
Researchers at SLAC National Accelerator Laboratory have set a new record by generating the highest-current, highest-peak-power electron beam ever recorded. The beam reached 100 kiloamps in just one quadrillionth of a second, achieved through advanced compression techniques and magnetic field manipulation. This breakthrough could have major implica...
-
www.gadgets360.com
-
AMS Data Reveals Charged Particle Variations in Heliosphere Over Solar Cycle
- Monday February 10, 2025
- Written by Gadgets 360 Staff
Researchers analysing AMS data aboard the ISS have identified variations in charged particles within the heliosphere over an 11-year solar cycle. Shifts in the heliospheric magnetic field impact antiproton behaviour and cosmic nuclei fluxes, revealing correlations between solar modulation and cosmic ray movement. AMS measurements provide insights i...
-
www.gadgets360.com
-
Study Explores Sun’s Magnetic Field Changes and Solar Wind Acceleration
- Friday December 20, 2024
- Written by Gadgets 360 Staff
A study published in The Astrophysical Journal has shed light on how the Sun’s magnetic field influences solar wind acceleration. Using data from the Parker Solar Probe and Solar Orbiter, researchers observed that sharp magnetic switchbacks smooth out into gentler waves as they travel further from the Sun. This relaxation process transfers magnet...
-
www.gadgets360.com
-
Semi-Dirac Fermions Found in ZrSiS: Quasiparticles with Directional Mass Behavior
- Thursday December 12, 2024
- Written by Gadgets 360 Staff
Researchers at Penn State and Columbia University identified semi-Dirac fermions, quasiparticles theorized 16 years ago, in ZrSiS crystals. These particles are massless in one direction but have mass in another. The findings, published in Physical Review X, were made using magneto-optical spectroscopy at the National High Magnetic Field Laboratory....
-
www.gadgets360.com
-
NASA's Parker Solar Probe Unveils New Insights into Solar Heating Mystery
- Friday August 16, 2024
- NDTV
NASA's Parker Solar Probe has delivered groundbreaking insights into one of the sun's most perplexing mysteries: why its outer atmosphere, or corona, is significantly hotter than its surface. This phenomenon, known as the "coronal heating mystery," has puzzled scientists for decades. The Parker Solar Probe, which is the fastest human-made object, h...
-
www.gadgets360.com
-
Solar Flares Seen During Total Solar Eclipse. Here's What It Means
- Tuesday April 9, 2024
- World News | Edited by Anoushka Sharma
A solar flare is a massive explosion that occurs on the Sun when energy that has been trapped in "twisted" magnetic fields, which are often found above sunspots, is abruptly released.
-
www.ndtv.com
-
China's Insight-HXMT Records Strongest Magnetic Field in Universe, Measuring Over 1.6 Billion Tesla
- Wednesday July 13, 2022
- Edited by Gadgets 360 Newsdesk
The Insight-HXTM team has spotted a cyclotron absorption line in the neutron star X-ray binary Swift J0243.6+6124 having the energy of 146 keV. This was corresponding to a surface magnetic field with a magnitude of more than 1.6 billion Tesla.
-
www.gadgets360.com
-
Watch: Amateur Photographer Records "Unusual" Solar Storm On Surface of Sun
- Wednesday June 8, 2022
- Offbeat | Edited by Bhavya Sukheja
A solar storm that reaches as far out from the Sun as four entire Earths was discovered by telescope by an amateur photographer.
-
www.ndtv.com
-
NASA Shares Stunning Image of Solar Flares Recently Ejected by Sun
- Friday January 21, 2022
- Edited by Gadgets 360 Newsdesk
The Sun's surface is marked by electrically charged gases that keep generating powerful magnetic forces. Their area of influence is called magnetic fields. As these gases are dynamic, they continuously stretch and twist the magnetic fields. Sometimes, this tangling of magnetic fields causes a sudden explosion of energy called solar flares.
-
www.gadgets360.com